
根据《教育部关于普通高中学业水平考试的实施意见》(教基二〔2014〕10号)、《河南省人民政府关于印发河南省深化普通高等学校考试招生综合改革实施方案的通知》(豫政〔2022〕22号)精神,制定本办法。
一、等级赋分办法适用科目及实施范围
等级赋分办法适用于我省普通高中学业水平考试的思想政治、地理、化学和生物学4门选择性考试科目。学生根据普通高等学校招生专业选考科目要求,结合自身兴趣特长,在4门科目中选择2门作为选择性考试科目,即:在思想政治、地理、化学、生物学4门学科中选2门科目参加考试,每科满分100分,以等级分数计入总分。
我省自2022年入学的普通高中一年级学生开始,在普通高中学业水平考试思想政治等4门选择性考试科目中实施等级赋分办法。
二、等级赋分办法
(一)划分等级,将原始分转换为等级。把每门选择性考试科目的考生群体依据原始分从高到低进行排序,依据考生群体成绩的统计分布,以一定的人数比例将该选考科目考生群体划分为若干个等级,每个考生按照其原始分在该选考科目考生群体中的排序,对应到某个等级,从而将所有考生的原始分转换成等级。
(二)进行等级赋分,将等级转换为等级分数。设定等级起点分、满分的分值,对各个等级进行连续赋分,在每个等级内按1分1档赋予每个等级一定的等级分数区间。根据每个考生的原始分数及所在等级的等级赋分区间,运用等比例转换法则将其原始分换算成等级分数。
三、等级赋分的具体计算
(一)将每个选考科目的考生群体原始分转换为等级。把每个选考科目考生群体的原始分从最高分到最低分顺序排列,按照考生群体原始分的统计分布所确定人数比例(见表1)将该选考科目考生群体划分为5个群体,每个群体考生赋予1个等级,整个考生群体的原始分被转换为从高到低A、B、C、D、E共5个等级,每个考生的等级由其在该选考科目群体的排位确定。
(二)将等级转换为等级分数。等级分数的满分值为100分、起点分值为30分,从A至E每个等级按照1分1档的分数间隔对各个等级进行连续赋分,各个等级的等级赋分区间从15到11分不等(见表1)。根据每个考生的原始分数及其所在等级的等级赋分区间,运用等比例转换法则将其原始分换算成等级分数。
1.等级换算对应关系。各等级及其所占人数比例、等级分赋分区间对应关系如下表所示。
表1.具体等级比例和赋分区间

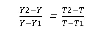
2.等级分换算公式。等级转换的具体公式为:

其中:
Y1、Y2分别表示原始分区间的下限和上限;
T1、T2分别表示等级赋分区间的下限和上限;
Y表示考生的原始分;
T表示考生的等级分数。
根据公式,可以计算出每个考生的等级分数。
(三)成绩使用。选择性考试成绩当年高考录取有效,计入考生高考录取总成绩,作为高校招生录取的依据。